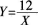
将一枚质地均匀的骰子抛掷两次,第一次朝上一面点数设为X,第二次朝上一面点数设为Y,则(X,Y)在双曲线 上的概率为( )。A.1/18 B...

作者: tihaiku 人气: - 评论: 0
问题 将一枚质地均匀的骰子抛掷两次,第一次朝上一面点数设为X,第二次朝上一面点数设为Y,则(X,Y)在双曲线 上的概率为( )。
选项 A.1/18 B.1/9 C.1/6 D.1/4
答案 B
解析

相关内容:质地,骰子,第一次,一面,点数,第二次,双曲线,概率

猜你喜欢

发表评论
更多 网友评论0 条评论)
暂无评论

Copyright © 2012-2014 恰考网 Inc. 保留所有权利。 Powered by tikuer.com

页面耗时0.0556秒, 内存占用1.04 MB, Cache:redis,访问数据库20次