非甜玉米对甜玉米为显性,受常染色体上一对基因控制。现选择亲本为非甜玉米的个体自由交配,所得子一代中非甜:甜=48:1,则亲本纯合子比例为(  )。A.2/...

作者: tihaiku 人气: - 评论: 0
问题 非甜玉米对甜玉米为显性,受常染色体上一对基因控制。现选择亲本为非甜玉米的个体自由交配,所得子一代中非甜:甜=48:1,则亲本纯合子比例为(  )。
选项 A.2/7 B.3/7 C.4/7 D.5/7
答案 D
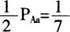
解析 设甜玉米的基因为a,非甜玉米的基因为A。亲本为非甜玉米的个体自由交配,所得子一代中非甜:甜=48:1,即甜玉米的基因型频率为1/49,则a的频率为1/7,A的频率为6/7。因为亲本中只有非甜玉米,则亲本的基因型为AA和Aa两种,由于a的频率争等于Aa的频率的1/2,即 并且A的频率等于AA的频率与1/2Aa的频率的和,即 所以亲本纯合子AA的频率为5/7。

相关内容:非甜,玉米,受常,染色体,基因,控制,亲本,个体,交配,所得,一代,中非,合子,比例

猜你喜欢

发表评论
更多 网友评论0 条评论)
暂无评论

Copyright © 2012-2014 恰考网 Inc. 保留所有权利。 Powered by tikuer.com

页面耗时0.0370秒, 内存占用1.04 MB, Cache:redis,访问数据库16次