某拟建工程由甲、乙、丙三个施工过程组成;该工程共划分成四个施工流水段,每个施工过程在各个施工流水段上的流水节拍如下表所示。按相关规范规定,施工过程乙完成后...

作者: tihaiku 人气: - 评论: 0
问题 某拟建工程由甲、乙、丙三个施工过程组成;该工程共划分成四个施工流水段,每个施工过程在各个施工流水段上的流水节拍如下表所示。按相关规范规定,施工过程乙完成后其相应施工段至少要养护2d,才能进入下道工序。为了尽早完工,经过技术攻关,实现施工过程乙在施工过程甲完成之前1d提前插人施工。 各施工段的流水节拍 问题: 1.该工程应采用何种流水施工组织模式,除此之外,常用的组织方式还有哪些。 2.计算各施工过程间的流水步距和总工期。 3.试编制该工程流水施工计划图。
选项
答案
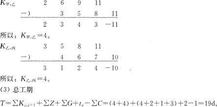
解析 1.根据工程特点,该工程只能组织无节奏流水施工。除此之外,常用的组织方式还有:等节奏流水施工、异节奏流水施工。 2.求各施工过程之间的流水步距: 1)各施工过程流水节拍的累加数列: 甲:26911; 乙:35811; 丙:46710。 2)错位相减,取最大值得流水步距: 流水施工计划图如下所示:

相关内容:工程,三个,施工,过程,共划,流水,节拍,相关,规范,规定

猜你喜欢

发表评论
更多 网友评论0 条评论)
暂无评论

访问排行

Copyright © 2012-2014 恰考网 Inc. 保留所有权利。 Powered by tikuer.com

页面耗时0.0291秒, 内存占用1.04 MB, Cache:redis,访问数据库18次