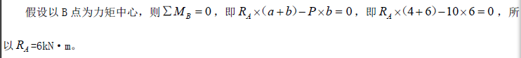
根据力矩平衡方程的应用,假设下图中P =10kN, a =4m,b =6m,则A R =( )。 A.1kN·m B.2.4kN·m ...

作者: tihaiku 人气: - 评论: 0
问题 根据力矩平衡方程的应用,假设下图中P =10kN, a =4m,b =6m,则A R =( )。 A.1kN·m B.2.4kN·m C.4kN·m D.6kN·m
选项
答案 D
解析 参见教材P10。考查内容:力矩平衡方程的应用。

相关内容:根据,力矩,方程,应用,图中,B.2.4kN

猜你喜欢

发表评论
更多 网友评论0 条评论)
暂无评论

访问排行

Copyright © 2012-2014 恰考网 Inc. 保留所有权利。 Powered by tikuer.com

页面耗时0.0448秒, 内存占用1.04 MB, Cache:redis,访问数据库19次