某受压细长杆件,两端铰支,其临界力为 50kN,若将杆件支座形式改为两端固定,其临界力为()kN。(2014年真题)A.50 B.100 C.150 ...

作者: tihaiku 人气: - 评论: 0
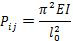
问题 某受压细长杆件,两端铰支,其临界力为 50kN,若将杆件支座形式改为两端固定,其临界力为()kN。(2014年真题)
选项 A.50 B.100 C.150 D.200
答案 D
解析 本题考查的是临界力的计算。不同支座情况的临界力的计算公式为: l0称压杆的计算长度。当两端固定时 l0=0.5l;两端铰支时, l0=l,然后代入公式可知临界力 差 4倍,答案为 D。

相关内容:杆件,两端,铰支,支座,形式,2014年,真题

猜你喜欢

发表评论
更多 网友评论0 条评论)
暂无评论

访问排行

Copyright © 2012-2014 恰考网 Inc. 保留所有权利。 Powered by tikuer.com

页面耗时0.0327秒, 内存占用1.04 MB, Cache:redis,访问数据库18次