某工程现场临时用水总量为Q=14.8L/s,管网中水流速度v=1.8m/s,该工程现场施工用水的供水管径宜选用()mm水管。A、100 B、150 ...

作者: tihaiku 人气: - 评论: 0
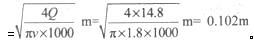
问题 某工程现场临时用水总量为Q=14.8L/s,管网中水流速度v=1.8m/s,该工程现场施工用水的供水管径宜选用()mm水管。
选项 A、100 B、150 C、200 D、250
答案 A
解析 本题考核的是临时用水管径的选用。临时用水管径 按钢管管径规定系列选用,最靠近102mm的规格是100mm,故本工程临时供水管径选用φ100 管径。

相关内容:工程,现场,用水,总量,网中,水流,速度,施工,供水,管径,水管

猜你喜欢

发表评论
更多 网友评论0 条评论)
暂无评论

访问排行

Copyright © 2012-2014 恰考网 Inc. 保留所有权利。 Powered by tikuer.com

页面耗时0.0430秒, 内存占用1.04 MB, Cache:redis,访问数据库18次