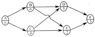
下图所示的单代号网络计划的关键工作是()。A:工作B、E、FB:工作C、D、FC:工作C、E、FD:工作B、D、F

作者: rantiku 人气: - 评论: 0
问题 下图所示的单代号网络计划的关键工作是()。
选项 A:工作B、E、F B:工作C、D、F C:工作C、E、F D:工作B、D、F
答案 D
解析 学习时的做法:计算时间参数,求出总时差最小。考试方法:从答案中求证:关键线路由关键工作组成,在不计算时间参数的情况下,由起点节点到终点节点形成的线路上各项工作持续时间之和的最大值所对应的线路就是关键线路,这条线路上的工作就是关键工作。A答案:6+2+5=13;B答案:4+5+5=14;C答案:4+2+5=11;D答案:6+5+5=16。因此选择D。

猜你喜欢

发表评论
更多 网友评论0 条评论)
暂无评论

访问排行

Copyright © 2012-2014 恰考网 Inc. 保留所有权利。 Powered by tikuer.com

页面耗时0.0335秒, 内存占用1.03 MB, Cache:redis,访问数据库19次