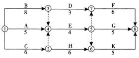
某工程项目的进度计划如下列双代号网络计划图所示,其关键线路是()。A:①→②→⑥→⑧B:①→④→⑤→⑧C:①→②→④→⑤→⑥→⑧D:①→③...

作者: rantiku 人气: - 评论: 0
问题 某工程项目的进度计划如下列双代号网络计划图所示,其关键线路是()。
选项 A:①→②→⑥→⑧ B:①→④→⑤→⑧ C:①→②→④→⑤→⑥→⑧ D:①→③→④→⑤→⑦→⑧
答案 D
解析 在双代号网络计划中,工作总时差最小的工作是关键工作,自始至终全部由关键工作组成的线路为关键线路,或线路上总的工作持续时间最长的线路为关键线路。选项A、B、C、D的工作持续总时间分别为:6+6+5=17;5+4+5=14;6+0+4+0+5=15;8+0+4+0+6=18。所以关键线路为①—③—④—⑤—⑦—⑧。

猜你喜欢

发表评论
更多 网友评论0 条评论)
暂无评论

访问排行

Copyright © 2012-2014 恰考网 Inc. 保留所有权利。 Powered by tikuer.com

页面耗时0.0417秒, 内存占用1.03 MB, Cache:redis,访问数据库19次