某项目采用生产能力指数法估算拟建装置的投资。已建成类似装置的投资额为200万元,生产能力为20万吨;拟建装置的生产能力为25万吨。指数n的取值为1,综合调...

作者: rantiku 人气: - 评论: 0
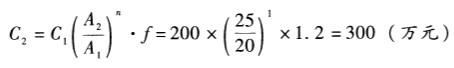
问题 某项目采用生产能力指数法估算拟建装置的投资。已建成类似装置的投资额为200万元,生产能力为20万吨;拟建装置的生产能力为25万吨。指数n的取值为1,综合调整系数为1.20,该拟建装置的投资估算额是()万元。
选项 A:250 B:300 C:400 D:450
答案 B
解析

猜你喜欢

发表评论
更多 网友评论0 条评论)
暂无评论

访问排行

Copyright © 2012-2014 恰考网 Inc. 保留所有权利。 Powered by tikuer.com

页面耗时0.0335秒, 内存占用1.03 MB, Cache:redis,访问数据库17次