某投资项目,现时点投资1000万元,则自第一年年末开始,每年年末都将有均等的净收益240万元,若i=5%,经营期可以看作是无限,则该项目相当于现时点的净收...

作者: rantiku 人气: - 评论: 0
问题 某投资项目,现时点投资1000万元,则自第一年年末开始,每年年末都将有均等的净收益240万元,若i=5%,经营期可以看作是无限,则该项目相当于现时点的净收益为()万元。
选项 A:5600 B:4950 C:3800 D:4200
答案 C
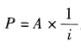
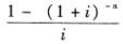
解析 当n值足够大,年值A和现值P之间的计算可以简化。根据公式:P=A*,根据极值的概念可知:当n值趋于无穷大时,将趋近于1/i,所以有:P=。因此,P=240*(1/5%)=4800(万元)。该项目相当于现时点的净收益为4800-1000=3800(万元)。

猜你喜欢

发表评论
更多 网友评论0 条评论)
暂无评论

访问排行

Copyright © 2012-2014 恰考网 Inc. 保留所有权利。 Powered by tikuer.com

页面耗时0.0368秒, 内存占用1.03 MB, Cache:redis,访问数据库19次