某投资方案,当i1=10%时,净现值为124万元;当i2=15%时,净现值为-36万元,则该投资方案的内部收益率是()。A:10.875%B:13.8...

作者: rantiku 人气: - 评论: 0
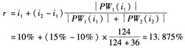
问题 某投资方案,当i1=10%时,净现值为124万元;当i2=15%时,净现值为-36万元,则该投资方案的内部收益率是()。
选项 A:10.875% B:13.875% C:12.875% D:11.875%
答案 B
解析 内部收益率是指方案寿命期内使现金流量的净现值等于零时的利率。运用插值法求内部收益率的计算公式,可求得该投资方案的内部收益率为:

猜你喜欢

发表评论
更多 网友评论0 条评论)
暂无评论

访问排行

Copyright © 2012-2014 恰考网 Inc. 保留所有权利。 Powered by tikuer.com

页面耗时0.0441秒, 内存占用1.03 MB, Cache:redis,访问数据库18次