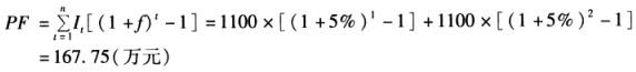
某工程投资中,设备、建筑安装和工程建设其他费用分别为600万元、1000万元和400万元,基本预备费率为10%。项目建设前期年限为1年,投资建设期2年,各...

作者: rantiku 人气: - 评论: 0
问题 某工程投资中,设备、建筑安装和工程建设其他费用分别为600万元、1000万元和400万元,基本预备费率为10%。项目建设前期年限为1年,投资建设期2年,各年投资额相等。预计年均投资价格上涨5%,则该工程的涨价预备费为()万元。
选项 A:226.22 B:167.75 C:100.00 D:52.50
答案 B
解析 若不考虑建设前期的涨价因素,该工程的涨价预备费为: 式中,PF为涨价预备费;n为建设期年份数;It为建设期第t年的投资计划额;f为建设期价格上涨指数。

猜你喜欢

发表评论
更多 网友评论0 条评论)
暂无评论

访问排行

Copyright © 2012-2014 恰考网 Inc. 保留所有权利。 Powered by tikuer.com

页面耗时0.0322秒, 内存占用1.03 MB, Cache:redis,访问数据库19次