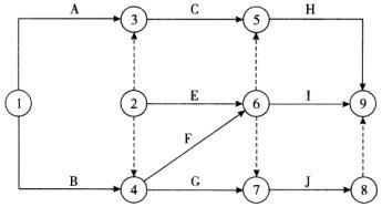
某分部工程的双代号网络计划如下图所示,图中的绘制错误有()。A:有多个终点节点B:有多个起点节点C:工作代号重复D:有多余的虚工作E:...

作者: rantiku 人气: - 评论: 0
问题 某分部工程的双代号网络计划如下图所示,图中的绘制错误有()。
选项 A:有多个终点节点 B:有多个起点节点 C:工作代号重复 D:有多余的虚工作 E:节点编号有误
答案 BDE
解析 选项B,存在两个起点节点①、②;选项D,⑧→⑨的虚工作为多余虚工作;选项E,⑥→⑤的虚工作节点编号有误,其箭头节点小于箭尾节点的编号。

猜你喜欢

发表评论
更多 网友评论0 条评论)
暂无评论

访问排行

Copyright © 2012-2014 恰考网 Inc. 保留所有权利。 Powered by tikuer.com

页面耗时0.0327秒, 内存占用1.03 MB, Cache:redis,访问数据库16次