计算经济采购批量要考虑的因素包括()。A:存货年需要量B:订货次数C:保险储备量D:一次订货成本E:单位储存成本

作者: rantiku 人气: - 评论: 0
问题 计算经济采购批量要考虑的因素包括()。
选项 A:存货年需要量 B:订货次数 C:保险储备量 D:一次订货成本 E:单位储存成本
答案 ADE
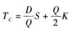
解析 经济采购批量是指在保证生产需要的条件下使存货总成本最低的合理订购量。计算公式为:,式中,TC表示存货总成本;D表示存货年需要量;Q表示次订货量;S表示次订货成本;K表示单位储存成本。

猜你喜欢

发表评论
更多 网友评论0 条评论)
暂无评论

访问排行

Copyright © 2012-2014 恰考网 Inc. 保留所有权利。 Powered by tikuer.com

页面耗时0.0314秒, 内存占用1.03 MB, Cache:redis,访问数据库19次