绘制网络图时,应避免箭线交叉,当交叉不可避免时,可采用的处理方法有()。A:过桥法B:中断法C:断线法D:指向法E:调整法

作者: rantiku 人气: - 评论: 0
问题 绘制网络图时,应避免箭线交叉,当交叉不可避免时,可采用的处理方法有()。
选项 A:过桥法 B:中断法 C:断线法 D:指向法 E:调整法
答案 AD
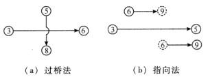
解析 绘制网络图时,箭线不宜交叉;当交叉不可避免时,可用过桥法或指向法。如下图所示:

猜你喜欢

发表评论
更多 网友评论0 条评论)
暂无评论

访问排行

Copyright © 2012-2014 恰考网 Inc. 保留所有权利。 Powered by tikuer.com

页面耗时0.0435秒, 内存占用1.03 MB, Cache:redis,访问数据库20次