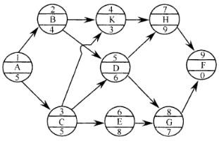
共用题干根据某工程项目的各项工作的持续时间和工作之间的逻辑关系,编制的单代号网络计划如下图所示:(时间单位:月)根据题意,回答下列问题:工作K的最...

作者: rantiku 人气: - 评论: 0
问题 共用题干根据某工程项目的各项工作的持续时间和工作之间的逻辑关系,编制的单代号网络计划如下图所示:(时间单位:月) 根据题意,回答下列问题:
选项 工作K的最早完成和最迟完成时间分别为()个月。 A:12,15 B:13,16 C:13,15 D:15,16
答案 B
解析 作法:列出所有可能的线路,计算各线路的持续时间之和,最大的那个持续时间即为计算工期。考试时作法,对于案例分析题要先看完所有问题后再开始做,因为有时后面的题目可能会对前面题目的解答有帮助。 各线路的持续时间之和最大的为关键线路。注意一定要检验这条线路是否真实存在。依次计算各个选项线路的持续时间:A:5+5+3+9=22B:5+4+6+7=22C:5+5+8+7=25D:5+5+6+9=25可知选项CD的线路为关键线路,关键线路上的持续时间之和即为计算工期,所以解完第二题就可以解答第一题,即第一题的工期为25个月,选项C正确。 (1)首先计算各项工作的最早开始时间和最早完成时间;(从起点到终点) (2)计算相邻两项工作之间的时间间隔 (3)计算工作总时差TFi(从终点向起点)F工作的总时差=0,即TF9=0TF8=TF9+LAG8,9=0+0=0TF7=TF9+LAG7,9=0+0=0TF6=TF8+LAG6,8=0+0=0TF5=min[(TF7+LAG5,7),(TF8+LAG5,8)]——(有两个紧后工作7、8,取最小值)=min(0,2)=0TF4=TF4+LAG4,7=0+3=3TF3=min[(TF4+LAG3,4),(TF5+LAG3,5),(TF6+LAG3,6)]=min[(3+0),(0+0),(0+0)]=0TF2=min[(TF4+LAG2,4),(TF5+LAG2,5)]=min[(3+1),(0+1)]=1TF1=min[(TF2+LAG1,2),(TF3+LAG1,3)]=min[(1+0),(0+0)]=0即工作B的总时差为1。(4)计算自由时差(从终点向起点)如果工作无紧后工作,FF=计划工期-该工作的最早完成时间;如果工作有紧后工作,FF=该工作与其紧后工作之间的时间间隔的最小值。FF9=Tp-EF9=25-25=0FF8=LAG8,9=0FF7一LAG7,9=0FF6一LAG6,8=0FF5=min[LAG5,7,LAG5,8]=min(0,2)=0FF4=LAG4,7=3FF3=min[LAG3,4,LAG3,5,LAG3,6]=min(0,0,0)=0FF2=min[LAG2,4,LAG2,5]=min(1,1)=1FF1=min[LAG1,2,LAG1,3]=min(0,0)=0即工作B的自由时差为1。 K有两个紧前工作B、CESA=0,EFA=0+5=5ESB=5,EFB=5+4=9ESC=5,EFC=5+5=10ESK=max(EFB,EFC)=10,EFK=10+3=13LFK=该工作的最早完成时间+总时差=13+3=16。

猜你喜欢

发表评论
更多 网友评论0 条评论)
暂无评论

访问排行

Copyright © 2012-2014 恰考网 Inc. 保留所有权利。 Powered by tikuer.com

页面耗时0.0398秒, 内存占用1.04 MB, Cache:redis,访问数据库19次