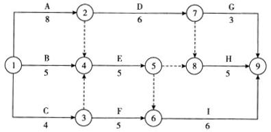
共用题干某工程项目的进度计划如下面双代号网络计划所示(时间单位:周)。根据题意,回答下列问题:该工程项目进度计划的关键线路为()。A:①→②→④...

作者: rantiku 人气: - 评论: 0
问题 共用题干某工程项目的进度计划如下面双代号网络计划所示(时间单位:周)。 根据题意,回答下列问题:
选项 该工程项目进度计划的关键线路为()。 A:①→②→④→⑤→⑥→⑨ B:①→③→④→⑤→⑧→⑨ C:①→②→⑦→⑧→⑨ D:①→④→⑤→⑧→⑨
答案 AC
解析 选项A,工作A的紧后工作有工作D和工作E。 应先做98题,计算出每条线路的持续时间,得出选项A、C的持续时间最长,关键线路的持续时间即为计算工期,即为19周。 选项A的持续时间=8+5+6=19;选项B的持续时间=4+5+5=14;选项C的持续时间=8+5+6=19;选项D的持续时间=5+5+5=150持续时间最长的线路就是关键线路,即选项A、C。 I为关键工作,所以F的总时差=I的开始时间一F的最早完成时间=13-(4+5)=4(天)。 选项A、B,工作G的最早完成时间=ADG线路的持续时间=3+6+3=17。G的最早开始时间=8+6=14;选项C,工作G的最迟开始时间=19-3-16;选项D,G工作是以终点节点为完成节点的工作,所以G的总时差和自由时差是相等的。

猜你喜欢

发表评论
更多 网友评论0 条评论)
暂无评论

访问排行

Copyright © 2012-2014 恰考网 Inc. 保留所有权利。 Powered by tikuer.com

页面耗时0.0360秒, 内存占用1.03 MB, Cache:redis,访问数据库19次