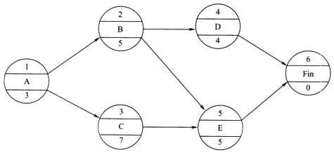
共用题干某工程项目的进度计划如下单代号网络图所示,时间单位为周。根据以上资料,回答下列问题:下列工作B的时间参数计算结果中,正确的为()。A:自...

作者: rantiku 人气: - 评论: 0
问题 共用题干某工程项目的进度计划如下单代号网络图所示,时间单位为周。 根据以上资料,回答下列问题:
选项 下列工作B的时间参数计算结果中,正确的为()。 A:自由时差为2周 B:自由时差为1周 C:总时差为0周 D:总时差为2周
答案 D
解析 此题考查单代号网络图。3+7+5=15(周)。所以若项目实施过程中各项工作进度正常,则该项目可在15周内完成。 此题考查单代号网络时间参数的计算。自由时差是指在不影响其紧后工作最早开始的前提下,本工作可以利用的机动时间。 此题考查单代号网络中最迟完成时间的计算。最迟完成时间应该是紧后工作最迟开始时间。 此题考查项目控制。

猜你喜欢

发表评论
更多 网友评论0 条评论)
暂无评论

访问排行

Copyright © 2012-2014 恰考网 Inc. 保留所有权利。 Powered by tikuer.com

页面耗时0.0343秒, 内存占用1.03 MB, Cache:redis,访问数据库19次