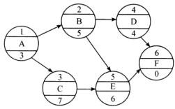
共用题干下图为一单代号网络计划,假设计划工期等于计算工期。根据以上资料,回答下列问题:此网络计划的计划工期为()。A:13B:14C:15...

作者: rantiku 人气: - 评论: 0
问题 共用题干下图为一单代号网络计划,假设计划工期等于计算工期。 根据以上资料,回答下列问题:
选项 此网络计划的计划工期为()。 A:13 B:14 C:15 D:16
答案 D
解析 计算最早开始时间和最早完成时间: 已知计划工期等于计算工期,故有:TP=Tc=EF6=16. FF4=LAG4,6=3。 LF5=EF5+TF5=15+0=15。

猜你喜欢

发表评论
更多 网友评论0 条评论)
暂无评论

访问排行

Copyright © 2012-2014 恰考网 Inc. 保留所有权利。 Powered by tikuer.com

页面耗时0.1122秒, 内存占用1.03 MB, Cache:redis,访问数据库20次