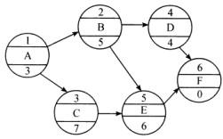
共用题干下图为一单代号网络计划,假设计划工期等于计算工期。根据以上资料,回答下列问题:工作的自由时差FF4为()。A:1B:2C:3D:4

作者: rantiku 人气: - 评论: 0
问题 共用题干下图为一单代号网络计划,假设计划工期等于计算工期。 根据以上资料,回答下列问题:
选项 工作的自由时差FF4为()。 A:1 B:2 C:3 D:4
答案 C
解析 计算最早开始时间和最早完成时间: 已知计划工期等于计算工期,故有:TP=Tc=EF6=16. FF4=LAG4,6=3。 LF5=EF5+TF5=15+0=15。

猜你喜欢

发表评论
更多 网友评论0 条评论)
暂无评论

访问排行

Copyright © 2012-2014 恰考网 Inc. 保留所有权利。 Powered by tikuer.com

页面耗时0.0333秒, 内存占用1.03 MB, Cache:redis,访问数据库18次