某分部工程可划分为A、B、C三个施工过程,其流水节拍分别为8天、12天和4天,若组织成倍节拍流水施工,其流水步距和专业工作队总数应分别是()。A.2天和3...

作者: rantiku 人气: - 评论: 0
问题 某分部工程可划分为A、B、C三个施工过程,其流水节拍分别为8天、12天和4天,若组织成倍节拍流水施工,其流水步距和专业工作队总数应分别是()。
选项 A.2天和3个 B.4天和3个 C.4天和6个 D.2天和12个
答案 C
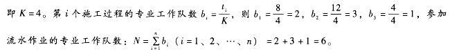
解析 成倍节拍流水施工中,流水步距K取各施工过程的流水节拍的最大公约数,

猜你喜欢

发表评论
更多 网友评论0 条评论)
暂无评论

访问排行

Copyright © 2012-2014 恰考网 Inc. 保留所有权利。 Powered by tikuer.com

页面耗时0.0409秒, 内存占用1.03 MB, Cache:redis,访问数据库19次