某施工企业实现产值5000万元才刚好不亏损,此时的预算成本与产值的比例为0.88,单位产值变动成本率为0.7,则固定成本为(  )万元。A.7000万...

作者: rantiku 人气: - 评论: 0
问题 某施工企业实现产值5000万元才刚好不亏损,此时的预算成本与产值的比例为0.88,单位产值变动成本率为0.7,则固定成本为(  )万元。
选项 A.7000万 B.800 C.6000 D.900
答案 D
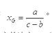
解析 盈亏分界点产值计算公式为:式中,a为当期固定成本总额;b为单位产值变动成本率;c为预算成本与产值比率;xG为盈亏分界点产值,即预算成本与实际成本相等的保本点产值。即:a=5000*(0.88-0.7)=900(万元)。

猜你喜欢

发表评论
更多 网友评论0 条评论)
暂无评论

访问排行

Copyright © 2012-2014 恰考网 Inc. 保留所有权利。 Powered by tikuer.com

页面耗时0.0375秒, 内存占用1.03 MB, Cache:redis,访问数据库19次