某建筑公司有瓦工青年突击队甲、乙、丙、丁共四个队,四个队人数分别为10、12、14、16人,四个队在某砖混住宅基础工程上均施工7天(8小时工作制),每队均...

作者: tihaiku 人气: - 评论: 0
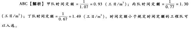
问题 某建筑公司有瓦工青年突击队甲、乙、丙、丁共四个队,四个队人数分别为10、12、14、16人,四个队在某砖混住宅基础工程上均施工7天(8小时工作制),每队均砌筑砖基础75立方米。 根据以上资料,回答下列问题: 如上题中规定的时间定额是1.41工日/m3,则完成时间定额的青年突击队是( )。
选项 A.甲队 B.乙队 C.丙队 D.丁队
答案 ABC
解析

相关内容:建筑,公司有,瓦工,青年,突击队,丁共,人数,砖混,住宅,基础工程,施工,8小时,工作制

猜你喜欢

发表评论
更多 网友评论0 条评论)
暂无评论

访问排行

Copyright © 2012-2014 恰考网 Inc. 保留所有权利。 Powered by tikuer.com

页面耗时0.0401秒, 内存占用1.05 MB, Cache:redis,访问数据库20次