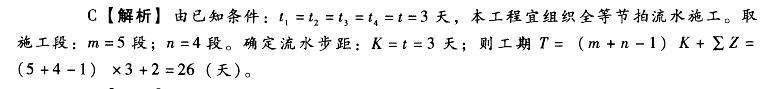
某工程项目的装饰工程可以分解为A、B、C、D四个施工过程,施工中分五个施工段组织流水作业,各施工过程的流水节拍均为3天,其中C、D工作之间有2天技术间歇时...

作者: tihaiku 人气: - 评论: 0
问题 某工程项目的装饰工程可以分解为A、B、C、D四个施工过程,施工中分五个施工段组织流水作业,各施工过程的流水节拍均为3天,其中C、D工作之间有2天技术间歇时间,则其流水施工工期为()天。
选项 A.22 B.24 C.26 D.28
答案 C
解析

相关内容:工程,目的,装饰工程,施工,过程,施工段,工段,组织,流水,节拍,工作,技术,间歇

猜你喜欢

发表评论
更多 网友评论0 条评论)
暂无评论

访问排行

Copyright © 2012-2014 恰考网 Inc. 保留所有权利。 Powered by tikuer.com

页面耗时0.0431秒, 内存占用1.05 MB, Cache:redis,访问数据库20次