某建设项目的一层主体工程由甲、乙、丙三个施工过程组成,它们在各个施工段上的流水节拍依次为3天、9天和6天,若组织成倍节拍流水施工,且施工段数等于参加流水作...

作者: tihaiku 人气: - 评论: 0
问题 某建设项目的一层主体工程由甲、乙、丙三个施工过程组成,它们在各个施工段上的流水节拍依次为3天、9天和6天,若组织成倍节拍流水施工,且施工段数等于参加流水作业的专业工作队数,则其流水施工工期是(  )天。
选项 A.15 B.18 C.24 D.33
答案 D
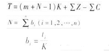
解析 成倍节拍流水施工组织形式的流水工期计算公式为: 式中, m 为施工段数; N 为确定参加流水作业的专业工作队数; bi为确定第 i 个施工过程的专业工作队数; K 为流水步距,取各施工过程的流水节拍的最大公约数;∑Z 为技术间歇时间之和;∑C 为平行搭接时间之和。代入题中数据,得 K=3, N=3/3+6/3+9/3=6,则 T=(6+6-1) ×3=33(天)

相关内容:建设,目的,主体,工程,三个,施工,过程,施工段,工段,流水,节拍,组织,成倍,且施

猜你喜欢

发表评论
更多 网友评论0 条评论)
暂无评论

访问排行

Copyright © 2012-2014 恰考网 Inc. 保留所有权利。 Powered by tikuer.com

页面耗时0.0303秒, 内存占用1.05 MB, Cache:redis,访问数据库19次