共用题干 某建筑工程公司最近几年的承包额如下表所示。根据题意,回答下列问题:采用简单平均法预测,2012年该建筑工程公司的承包额为()万元。 A:276...

作者: tihaiku 人气: - 评论: 0
问题 共用题干 某建筑工程公司最近几年的承包额如下表所示。

根据题意,回答下列问题:
选项 采用简单平均法预测,2012年该建筑工程公司的承包额为()万元。 A:27627 B:28656 C:36878 D:39328
答案 A
解析 =27627式中,表示平均数,即预测值;χ表示观察值,即各期实际发生值;n表示期间数。

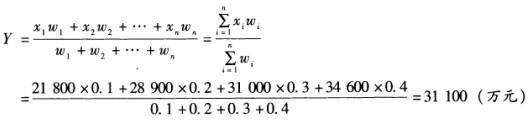
式中,Y表示加权平均数,即预测值,χi表示第i期的观测值,ωi表示第i期观测值的权重。
2012年该建筑工程公司的承包额=

2013年该建筑工程公司的承包额=

式中,Mt+1表示移动平均值,即预测值,Xt表示第t期的观测值,t表示期间数,n表示分段数据点数。
定性预测方法包括:①专家调查法,这种方法是将专家意见作为预测分析的对象,专家运用自己的知识和经验,通过对过去和现在事物的分析,找出规律,然后对发展的趋势做出判断;②德尔菲法,它是采用匿名的方式,通过几轮函询来征求专家的意见,然后将他们的意见综合、整理、归纳,再反馈给各位专家,供他们提出新论证时参考。

相关内容:题干,建筑,工程公司,额如,根据,题意,问题,平均法,预测,2012年,万元,276...

猜你喜欢

发表评论
更多 网友评论0 条评论)
暂无评论

访问排行

Copyright © 2012-2014 恰考网 Inc. 保留所有权利。 Powered by tikuer.com

页面耗时0.0319秒, 内存占用1.05 MB, Cache:redis,访问数据库19次