共用题干 某企业现决定进行投资,现时点投资5600万元,一年后建成并投入生产。根据预测,投产后每年年末的净现金流量皆为1200万元,运营期限为8年,i=...

作者: tihaiku 人气: - 评论: 0
问题 共用题干 某企业现决定进行投资,现时点投资5600万元,一年后建成并投入生产。根据预测,投产后每年年末的净现金流量皆为1200万元,运营期限为8年,i=10%。所需5600万元资金的筹措途径为:发行债券4000万元,年利率6%,筹资费率为1%,所得税税率为55%;普通股筹资1600万元,年股息率10%,年增长率4%,筹资费率为0.4%。已知:(P/A,10%,8)=5.335,(P/F,10%,1)=0.90910根据以上资料,回答下列问题:
选项 该项目投资的财务净现值为()万元。 A:220.06 B:360.58 C:246.76 D:287.49
答案 A
解析 用插值法计算如下:

因此:(i-12%)/(0-322.86)=(15%-12%)/(-192.50-322.86),i=13.88%。
财务净现值PW=1200*(P/A,10%,8)*(P/F,10%,1)-5600=1200*5.335*0.9091-5600=220.06(万元)。
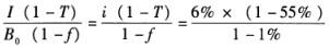
长期债券筹资的资金成本率KB==2.73%。式中,KB表示债券成本率;B0表示债券平价发行总额;I表示债券年利息总额;F表示筹资费率;T表示所得税税率;i表示债券年利息率。
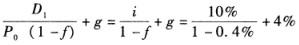
普通股成本率Kc==14.04%。式中,Kc表示普通股成本率;P0表示普通股股票票面价值或市场总额;D表示每年固定股利总额(i为股息率);f表示筹资费率。

相关内容:题干,企业,决定,投资,时点,5600万元,产后,现金流量,1200万元,运营,期限

猜你喜欢

发表评论
更多 网友评论0 条评论)
暂无评论

访问排行

Copyright © 2012-2014 恰考网 Inc. 保留所有权利。 Powered by tikuer.com

页面耗时0.0290秒, 内存占用1.05 MB, Cache:redis,访问数据库20次