某生产单一产品的建设项目,已知建成后年固定成本为1 000万元,年生产能力为2万件,单位产品的销售价格为1 800元,单位产品的材料费用为600元,单位产...

作者: tihaiku 人气: - 评论: 0
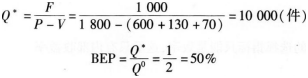
问题 某生产单一产品的建设项目,已知建成后年固定成本为1 000万元,年生产能力为2万件,单位产品的销售价格为1 800元,单位产品的材料费用为600元,单位产品的变动加工费和税金分别为130元和70元,则该建设项目的盈亏平衡点生产负荷率是()。
选项 A.75% B.50% C.41.6% D.60%
答案 B
解析 本题考查的是盈亏平衡计算的生产负荷率。要求生产负荷率,需先利用盈亏平衡方程,求盈亏平衡点产量Q*,再计算生产符合率。需注意的是:单位产品的材料费用、加工费和税金都属于单位变动成本。

相关内容:生产,产品,建设项目,成本,000万元,2万件,单位,800元,材料费,600元

猜你喜欢

发表评论
更多 网友评论0 条评论)
暂无评论

访问排行

Copyright © 2012-2014 恰考网 Inc. 保留所有权利。 Powered by tikuer.com

页面耗时0.0319秒, 内存占用1.04 MB, Cache:redis,访问数据库14次