某建设项目的建设期为2年,每年的贷款额预计均为500万元,贷款年利率为10%,则应计入建设工程造价的建设期利息是(  )万元。A.25 B.77.5 ...

作者: tihaiku 人气: - 评论: 0
问题 某建设项目的建设期为2年,每年的贷款额预计均为500万元,贷款年利率为10%,则应计入建设工程造价的建设期利息是(  )万元。
选项 A.25 B.77.5 C.100.0 D.102.5
答案 D
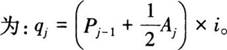
解析 此题考查建设期利息的计算。在考虑资金时间价值的前提下,建设期利息实行复利计息。为了简化计算,通常假定借款均在每年的年中支用,借款当年按照半年计息,公式 本题中,第一年利息=(500÷2)×10%=25(万元),第二年利息=(500+25+500÷2)×10%=77.5(万元),故建设期利息=25+77.5=102.5(万元)。

相关内容:建设,目的,贷款额,500万元,贷款,年利率,工程造价,利息,万元,B.77.5

猜你喜欢

发表评论
更多 网友评论0 条评论)
暂无评论

访问排行

Copyright © 2012-2014 恰考网 Inc. 保留所有权利。 Powered by tikuer.com

页面耗时0.0298秒, 内存占用1.05 MB, Cache:redis,访问数据库18次