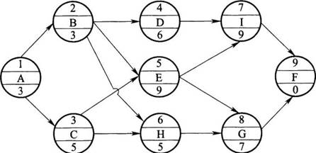
某工程项目的进度计划如以下单代号网络计划所示,时间单位为周。 工作F的最迟完成时间为(  )周。A.23 B.26 C.28 D.29

作者: tihaiku 人气: - 评论: 0
问题 某工程项目的进度计划如以下单代号网络计划所示,时间单位为周。 工作F的最迟完成时间为(  )周。
选项 A.23 B.26 C.28 D.29
答案 B
解析 此题考查最迟完成时间。单代号网络计划中,网络计划终点节点所代表的工作的最迟完成时间等于该网络计划的计划工期。故工作F的最迟完成时间为26周。

相关内容:工程,目的,进度,计划,代号,网络,时间,单位,工作

猜你喜欢

发表评论
更多 网友评论0 条评论)
暂无评论

访问排行

Copyright © 2012-2014 恰考网 Inc. 保留所有权利。 Powered by tikuer.com

页面耗时0.0309秒, 内存占用1.05 MB, Cache:redis,访问数据库19次