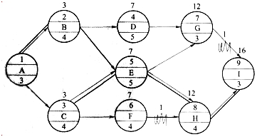
某工程项目的单代号网络计划如下图所示,其关键工作有( )。 A.工作B B.工作C C.工作D D.工作F E.工作H

作者: tihaiku 人气: - 评论: 0
问题 某工程项目的单代号网络计划如下图所示,其关键工作有( )。
选项 A.工作B B.工作C C.工作D D.工作F E.工作H
答案 ABE
解析 用标号追踪法,我们可以得出关键线路有两条,分别是工作A—工作B—工作E—工作H—工作I和工作A—工作C—工作E—工作G—工作I。其中关键工作有工作A、工作B、工作C、工作E、工作G、工作H和工作I共七项。

相关内容:工程,目的,单代号,代号,网络,计划,下图,关键,工作

猜你喜欢

发表评论
更多 网友评论0 条评论)
暂无评论

访问排行

Copyright © 2012-2014 恰考网 Inc. 保留所有权利。 Powered by tikuer.com

页面耗时0.0351秒, 内存占用1.04 MB, Cache:redis,访问数据库20次