共用题干 下图为一单代号网络计划,假设计划工期等于计算工期。根据以上资料,回答下列问题:最迟完成时间IF5应为()。 A:10 B:15 C:11...

作者: tihaiku 人气: - 评论: 0
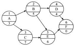
问题 共用题干 下图为一单代号网络计划,假设计划工期等于计算工期。

根据以上资料,回答下列问题:
选项 最迟完成时间IF5应为()。 A:10 B:15 C:11 D:3
答案 B
解析 计算最早开始时间和最早完成时间:

已知计划工期等于计算工期,故有:TP=Tc=EF6=16.


FF4=LAG4,6=3。
LF5=EF5+TF5=15+0=15。

相关内容:题干,一单,代号,网络,计划,假设,工期,根据,资料,问题,时间

猜你喜欢

发表评论
更多 网友评论0 条评论)
暂无评论

访问排行

Copyright © 2012-2014 恰考网 Inc. 保留所有权利。 Powered by tikuer.com

页面耗时0.0292秒, 内存占用1.04 MB, Cache:redis,访问数据库18次