优先股资金成本率计算公式()。A: B: C: D:

作者: tihaiku 人气: - 评论: 0
问题 优先股资金成本率计算公式()。
选项 A: B: C: D:
答案 B
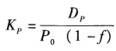
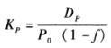
解析 优先股资金成本率可按下式计算:。式中,Kp表示优先股成本率;Dp表示优先股每年股息;P0表示优先股票面值;f表示筹资费率。

相关内容:优先股,资金,成本率,公式

猜你喜欢

发表评论
更多 网友评论0 条评论)
暂无评论

访问排行

Copyright © 2012-2014 恰考网 Inc. 保留所有权利。 Powered by tikuer.com

页面耗时0.0618秒, 内存占用1.04 MB, Cache:redis,访问数据库18次