共用题干 现有两个互斥方案,其净现金流量如下表所示。设基准收益率为10%。根据以上资料,回答以下问题:方案1的净现值为()万元。 A:2038.4 ...

作者: tihaiku 人气: - 评论: 0
问题 共用题干 现有两个互斥方案,其净现金流量如下表所示。设基准收益率为10%。

根据以上资料,回答以下问题:
选项 方案1的净现值为()万元。 A:2038.4 B:2801.9 C:4900 D:60008
答案 B
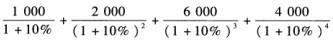
解析 方案1的净现值PW1=-7000=2801.9(万元)。
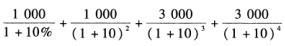
方案2的净现值PW2=-4000=2038.5(万元)。
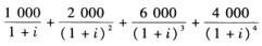
-7000=0,由此得到方案1的内部收益率i=23.67%。
在方案2前期投资额少于方案1时,方案2的内部收益率已经高于方案1,所以方案2优于方案1。

相关内容:题干,现有,两个,方案,其净,现金流量,基准,收益率,根据,资料,问题,现值,万元,2038.4

猜你喜欢

发表评论
更多 网友评论0 条评论)
暂无评论

访问排行

Copyright © 2012-2014 恰考网 Inc. 保留所有权利。 Powered by tikuer.com

页面耗时0.0266秒, 内存占用1.05 MB, Cache:redis,访问数据库19次