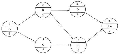
共用题干 某工程项目的进度计划如下单代号网络图所示,时间单位为周。根据以上资料,回答下列问题:工作B的最迟完成时间为第()周。 A:10 B:12 ...

作者: tihaiku 人气: - 评论: 0
问题 共用题干 某工程项目的进度计划如下单代号网络图所示,时间单位为周。

根据以上资料,回答下列问题:
选项 工作B的最迟完成时间为第()周。 A:10 B:12 C:13 D:14
答案 A
解析 此题考查单代号网络图。3+7+5=15(周)。所以若项目实施过程中各项工作进度正常,则该项目可在15周内完成。
此题考查单代号网络时间参数的计算。自由时差是指在不影响其紧后工作最早开始的前提下,本工作可以利用的机动时间。
此题考查单代号网络中最迟完成时间的计算。最迟完成时间应该是紧后工作最迟开始时间。
此题考查项目控制。

相关内容:题干,工程,目的,进度,计划,代号,网络,时间,单位,根据,资料,问题,工作

猜你喜欢

发表评论
更多 网友评论0 条评论)
暂无评论

访问排行

Copyright © 2012-2014 恰考网 Inc. 保留所有权利。 Powered by tikuer.com

页面耗时0.0468秒, 内存占用1.05 MB, Cache:redis,访问数据库20次