某生产单一产品的建设项目,设计年生产能力为16000件,已知建成后年同定成本为3600万元,单位产品的销售价格为6800元,单位产品的材料费用为2800元...

作者: tihaiku 人气: - 评论: 0
问题 某生产单一产品的建设项目,设计年生产能力为16000件,已知建成后年同定成本为3600万元,单位产品的销售价格为6800元,单位产品的材料费用为2800元,单位产品的变动加工费和税金分别为800元和200元,则该建设项目的生产负荷率是(  )。
选项 A.68% B.70% C.72% D.75%
答案 D
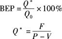
解析 此题考查盈亏平衡分析。通过产品设计生产能力Q。和产量的盈亏平衡点Q*,可以得到衡量风险程度的另一个指标——生产负荷率。它是产量的盈亏平衡点Q*占设计生产能力Q*的百分比,若用BEP表示生产负荷率,则有:

相关内容:生产,产品,建设项目,设计,16000件,同定,成本,3600万元,单位,6800元,材料费,2800元

猜你喜欢

发表评论
更多 网友评论0 条评论)
暂无评论

访问排行

Copyright © 2012-2014 恰考网 Inc. 保留所有权利。 Powered by tikuer.com

页面耗时0.0323秒, 内存占用1.05 MB, Cache:redis,访问数据库18次