某建设项目主要生产项目投资为2000万元,辅助生产项目投资为500万元,公用工程投资为200万元,工程建设其他费用为300万元。基本预备费率为12%,建设...

作者: tihaiku 人气: - 评论: 0
问题 某建设项目主要生产项目投资为2000万元,辅助生产项目投资为500万元,公用工程投资为200万元,工程建设其他费用为300万元。基本预备费率为12%,建设期价格上涨指数为5%(基本预备费计入涨价预备费计算基数)。项目建设期2年,建设期第1年完成投资40%,第2年完成投资60%。建设期贷款1200万元,建设期第1年贷款480万元,第2年贷款720万元,贷款年利率为8%。 某建设项目主要生产项目投资为2000万元,辅助生产项目投资为500万元,公用工程投资为200万元,工程建设其他费用为300万元。基本预备
选项 A.48.00 B.68.74 C.87.94 D.97.54
答案 C
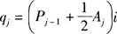
解析 此题考查建设期利息的计算。建设期利息包括向同内银行和其他非银行金融机构贷款、出口信贷、外国政府贷款、国际商业银行贷款以及在境内外发行的债券等在建没期内应偿还的贷款利息及其他融资费用。为了简化计算,通常假定借款均在每年的年中支用,借款当年按照半年汁息。计算公式为: 式中,qj表示建设期第j年应计利息;Pj-1表示建设期第j-1年末贷款余额,它由第j-1年末贷款累计再加上此时贷款利息累计;Aj表示建设期第j年支用贷款。故本题中,q1=(0+0.5×480)×0.08=19.2(万元),q2=(480+19.2+720×0.5)×0.08=68.74(万元),所以,建设期利息为:19.2+68.74=87.94(万元)。

相关内容:建设项目,生产,项目投资,2000万元,辅助,500万元,公用,工程,投资,200万元,工程建设,300万元,预备,费率,建设

猜你喜欢

发表评论
更多 网友评论0 条评论)
暂无评论

访问排行

Copyright © 2012-2014 恰考网 Inc. 保留所有权利。 Powered by tikuer.com

页面耗时0.0293秒, 内存占用1.05 MB, Cache:redis,访问数据库19次