某建设项目主要生产项目投资为3000万元,辅助生产项目投资为700万元,公用工程投资为400万元,工程建设其他费用为400万元。基本预备费率为12%,建设...

作者: tihaiku 人气: - 评论: 0
问题 某建设项目主要生产项目投资为3000万元,辅助生产项目投资为700万元,公用工程投资为400万元,工程建设其他费用为400万元。基本预备费率为12%,建设期价格上涨指数为5%(基本预备费计入涨价预备费计算基数)。项目建设期2年,建设期第1年完成投资30%,第2年完成投资70%。建设期贷款2000万元,建设期第1年贷款600万元,第2年贷款1400万元,贷款年利率为8%。 该项目建设期利息约为(  )万元。
选项 A.110 B.120 C.129.92 D.140
答案 C
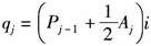
解析 此题考查建设期利息的计算。对于贷款总额一次性贷出且利息固定的贷款,建设期贷款本息直接按复利公式计算。但当总贷款是分年分次发放时,复利利息的计算公式为。 本题中,q1=(0+600÷2)×0.08=24(万元),q2=(600+24+1400÷2)×0.08=105.92(万元),q1+q2=129.92(万元)。

相关内容:建设项目,生产,项目投资,3000万元,辅助,700万元,公用,工程,投资,400万元,工程建设,预备,费率,建设

猜你喜欢

发表评论
更多 网友评论0 条评论)
暂无评论

访问排行

Copyright © 2012-2014 恰考网 Inc. 保留所有权利。 Powered by tikuer.com

页面耗时0.0435秒, 内存占用1.05 MB, Cache:redis,访问数据库18次