某工程建设期为2年,第1年从银行贷款1000万元,贷款年利率为8%,第2年无贷款,则建设期利息为()万元。A.40.0 B.80.0 C.83.2 ...

作者: tihaiku 人气: - 评论: 0
问题 某工程建设期为2年,第1年从银行贷款1000万元,贷款年利率为8%,第2年无贷款,则建设期利息为()万元。
选项 A.40.0 B.80.0 C.83.2 D.123.2
答案 D
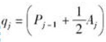
解析 在考虑资金时间价值的前提下,建设期贷款利息实行复利计息。对于贷款总额一次性贷出且利息固定的贷款,建设期贷款本息直接按复利公式计算。但当总贷款是分年分次发放时,复利利息的计算就较为复杂。为了简化计算,通常假定借款均在每年的年中支用,借款当年按照半年计息,公式为: 式中,q表示建设期第j年应计利息;Pj-1表示建设期第j-1年末贷款余额,它由第j-1年末贷款累计再加上此时贷款利息累计;Aj表示建设期第j年支用贷款;i表示年利率。则该工程的建设期利息 q=1000×8%×0.5+(1000+1000×8%×0.5)×8%=123.2(万元)。

相关内容:工程建设,银行,贷款,1000万元,年利率,建设,利息,万元,A.40.0,B.80.0,C.83.2

猜你喜欢

发表评论
更多 网友评论0 条评论)
暂无评论

访问排行

Copyright © 2012-2014 恰考网 Inc. 保留所有权利。 Powered by tikuer.com

页面耗时0.0375秒, 内存占用1.05 MB, Cache:redis,访问数据库20次