计算相关系数用55.计算回归系数用56.作相关系数检验用

作者: rantiku 人气: - 评论: 0
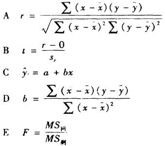
问题 计算相关系数用 55.计算回归系数用 56.作相关系数检验用
选项
答案 A
解析

猜你喜欢

发表评论
更多 网友评论0 条评论)
暂无评论

Copyright © 2012-2014 恰考网 Inc. 保留所有权利。 Powered by tikuer.com

页面耗时0.0356秒, 内存占用1.03 MB, Cache:redis,访问数据库18次