1.背景 某施工单位承担一井下装载硐室的掘进施工任务。所编制的施工进度计划见下图,图中箭线上方为工序的名称,下方为工序的时间,单位:周。在工...

作者: tihaiku 人气: - 评论: 0
问题

1.背景

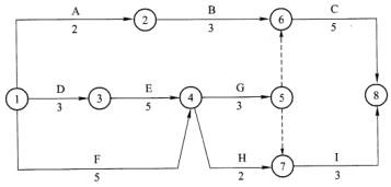
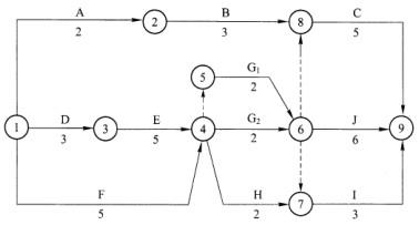
某施工单位承担一井下装载硐室的掘进施工任务。所编制的施工进度计划见下图,图中箭线上方为工序的名称,下方为工序的时间,单位:周。在工程施工到第4周结束时,业主要求施工单位将该硐室的混凝土基础一并完成,需增加一道现浇混凝土基础施工工序J,该工序J应在工序G完成后开始,在工程完工前结束,时间为6周,且总工期不变。施工单位及时调整了进度计划,将工序G分成两组同时施工,每组施工时间2周。

2.问题

(1)施工单位完成该装载硐室的工期是多少周?施工中应注意重点控制哪些工序的进度?

(2)增加工序J后,施工单位调整的进度计划是否正确?说明理由,并绘制调整后的进度计划。

(3)由于施工单位的原因,工序H的时间延长了1周,是否会对工程的总工期产生影响?

(4)根据本工程的实际情况,施工结束后,施工单位可向业主索赔哪些项目?

选项

(1)通过网络计算可得到该装载硐室的施工工期是16周,关键线路是D→E→G→C,因此施工中应注意重点控制工序DEGC的进度。

(2)增加工序J后,施工单位调整的进度计划是正确的,因为在G的后面直接增加工序J会使总工期增加到17周,不能满足要求。而工程这时已开始了4周,E已经开始,增加的工序J的先行工序只有G没有开始,因此只能考虑调整G工序的时间,G为关键工作,没有机动时间可利用,只能组织平行作业,将G工作分解为G1G2两个工序平行进行。调整后的网络计划见下图:

(3)由于工序H不是关键工序,且H还有3周的总时差,即有3周的机动时间,因此H延长1周不会对工程的总工期产生影响。

(4)根据本工程的情况,施工结束后,施工单位可向业主索赔增加工序J的全部费用以及组织工序G进行平行作业所增加的费用,由于没有影响总工期,不能进行工期的索赔。

答案
解析

相关内容:背景,井下,装载,硐室,施工,任务,编制,进度,计划,下图,图中,方为,工序,名称,时间,单位,在工

猜你喜欢

发表评论
更多 网友评论0 条评论)
暂无评论

访问排行

Copyright © 2012-2014 恰考网 Inc. 保留所有权利。 Powered by tikuer.com

页面耗时0.0294秒, 内存占用1.05 MB, Cache:redis,访问数据库17次