某债券为一年付息一次的息票债券,票面价值为1000元,息票利率为10%,期限为10年,当市场利率为8%时,该债券的发行价格应为()元。A:1100.8 ...

作者: rantiku 人气: - 评论: 0
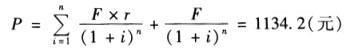
问题 某债券为一年付息一次的息票债券,票面价值为1000元,息票利率为10%,期限为10年,当市场利率为8%时,该债券的发行价格应为()元。
选项 A:1100.8 B:1170.1 C:1134.2 D:1180.7
答案 C
解析 因为每年付息,则每年收到现金折成现值即为发行价:

猜你喜欢

发表评论
更多 网友评论0 条评论)
暂无评论

访问排行

Copyright © 2012-2014 恰考网 Inc. 保留所有权利。 Powered by tikuer.com

页面耗时0.0365秒, 内存占用1.03 MB, Cache:redis,访问数据库17次