某零息债券还剩3.5年到期,面值100元,目前市场交易价格为86元,则其到期收益率为()。A:14% B:16.3% C:4.3% D:4.66%

作者: rantiku 人气: - 评论: 0
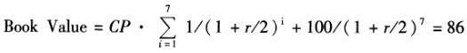
问题 某零息债券还剩3.5年到期,面值100元,目前市场交易价格为86元,则其到期收益率为()。
选项 A:14% B:16.3% C:4.3% D:4.66%
答案 C
解析 现在默认题中债券为半年计复利(常用复利及支付周期,因题中年限以半年为基本单位)。那么中i=1,……,7。设到期年收益为r,Interestpayment=CP=0,因为是零息债券。,由于CP=0,简化得100/86=(1+r/2)7,解得r=4.356%。

猜你喜欢

发表评论
更多 网友评论0 条评论)
暂无评论

访问排行

Copyright © 2012-2014 恰考网 Inc. 保留所有权利。 Powered by tikuer.com

页面耗时0.0440秒, 内存占用1.03 MB, Cache:redis,访问数据库15次