某公司上年年末支付每股股息为1元,预期回报率为12%,未来2年中超常态增长率为20%,随后的增长率为8%,则股票的价值为()元。A:20.56 B:3...

作者: rantiku 人气: - 评论: 0
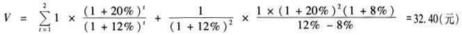
问题 某公司上年年末支付每股股息为1元,预期回报率为12%,未来2年中超常态增长率为20%,随后的增长率为8%,则股票的价值为()元。
选项 A:20.56 B:32.40 C:41.60 D:48.38
答案 B
解析

猜你喜欢

发表评论
更多 网友评论0 条评论)
暂无评论

访问排行

Copyright © 2012-2014 恰考网 Inc. 保留所有权利。 Powered by tikuer.com

页面耗时0.0517秒, 内存占用1.03 MB, Cache:redis,访问数据库19次