某债券面值100元,票面利率6%,期限10年,每年付息。如果到期收益率为8%,则其发行价格()。A:高于100元 B:低于100元 C:等于100...

作者: rantiku 人气: - 评论: 0
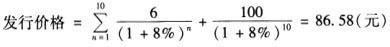
问题 某债券面值100元,票面利率6%,期限10年,每年付息。如果到期收益率为8%,则其发行价格()。
选项 A:高于100元 B:低于100元 C:等于100元 D:无法确定
答案 B
解析

猜你喜欢

发表评论
更多 网友评论0 条评论)
暂无评论

访问排行

Copyright © 2012-2014 恰考网 Inc. 保留所有权利。 Powered by tikuer.com

页面耗时0.0436秒, 内存占用1.03 MB, Cache:redis,访问数据库19次