今年年初,分析师预测某公司今后2年内(含今年)股利年增长率为10%,之后股利年增长率将下降到6%,并将保持下去。已知该公司上一年末支付的股利为每股2元,市...

作者: rantiku 人气: - 评论: 0
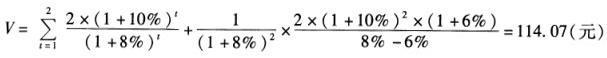
问题 今年年初,分析师预测某公司今后2年内(含今年)股利年增长率为10%,之后股利年增长率将下降到6%,并将保持下去。已知该公司上一年末支付的股利为每股2元,市场上同等风险水平的股票的预期必要收益率为80%如果股利免征所得税,那么今年初该公司股票的内在价值最接近()元。
选项 A:112 B:114 C:118 D:120
答案 B
解析 根据股利贴现模型,今年初该公司股票的内在价值:

猜你喜欢

发表评论
更多 网友评论0 条评论)
暂无评论

访问排行

Copyright © 2012-2014 恰考网 Inc. 保留所有权利。 Powered by tikuer.com

页面耗时0.0457秒, 内存占用1.03 MB, Cache:redis,访问数据库20次