李先生投资的一只股票预计一年后发放股利1.00元,并且以后股利每年以5%的速度增长,若李先生要求的回报率为15%,则股票现在的价值应为()元。A:12 ...

作者: tihaiku 人气: - 评论: 0
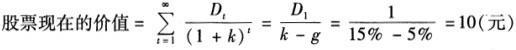
问题 李先生投资的一只股票预计一年后发放股利1.00元,并且以后股利每年以5%的速度增长,若李先生要求的回报率为15%,则股票现在的价值应为()元。
选项 A:12 B:10 C:15 D:17
答案 B
解析

相关内容:李先生,先生,投资,股票,股利,1.00元,速度,增长,若李,要求,回报率,价值

猜你喜欢

发表评论
更多 网友评论0 条评论)
暂无评论

访问排行

Copyright © 2012-2014 恰考网 Inc. 保留所有权利。 Powered by tikuer.com

页面耗时0.0338秒, 内存占用1.05 MB, Cache:redis,访问数据库19次