某股票前两年每股股利为10元。第3年每股股利为5元,此后股票保持5%的稳定增长,若投资者要求的回报率为15%,则该股票当前价格为()元。A:36 B:5...

作者: tihaiku 人气: - 评论: 0
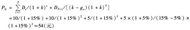
问题 某股票前两年每股股利为10元。第3年每股股利为5元,此后股票保持5%的稳定增长,若投资者要求的回报率为15%,则该股票当前价格为()元。
选项 A:36 B:54 C:58 D:64
答案 B
解析 根据多元增长模型可得该股票当前价格为:

相关内容:股票,股利,投资者,要求,回报率,价格

猜你喜欢

发表评论
更多 网友评论0 条评论)
暂无评论

访问排行

Copyright © 2012-2014 恰考网 Inc. 保留所有权利。 Powered by tikuer.com

页面耗时0.0594秒, 内存占用1.03 MB, Cache:redis,访问数据库13次