共用题干 李先生正在考虑投资三种共同基金。第一种是股票基金;第二种是长期政府债券与公司债券基金;第三种是收益率为8%的短期国库券货币市场基金。这些风险基...

作者: tihaiku 人气: - 评论: 0
问题 共用题干 李先生正在考虑投资三种共同基金。第一种是股票基金;第二种是长期政府债券与公司债券基金;第三种是收益率为8%的短期国库券货币市场基金。这些风险基金的概率分布如表3-5所示。基金的收益率之间的相关系数为0.10。

根据案例回答14-22题。
选项 最优资产组合的期望收益率和标准差分别为()。 A:15.61%;16.54% B:18.61%;23.48% C:13.39%;13.92% D:14.83%;15.24%
答案 A
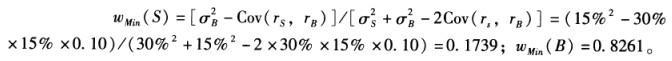
解析 由E(rS)=20%,E(rB)=12%,σS=30%,σB=15%,p=0.10,可得j最小差资产组合


由上题可知最小方差组合股票基金和债券基金的比例分别为17.39%和82.61%,所以E(rMin)=0.1739*20%+0.8261*12%=13.39%。标准差按照公式计算如下:


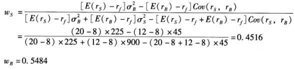
最优资产组合的每种资产的比例计算如下:



由上题可知最优风险资产组合中的股票和债券的比重分别为45.16%、54.84%,期望收益率和标准差计算如下:



根据公式计算最优资本配置线的报酬与波动性比率,可得:[E(rP)-rf]/σP=(15.61%-8%)/16.54%=0.4601


因为投资者资产组合必在资本配置线上,资本配置线为:E(rc)=rf+[E(rP)-rf]/σPc=8%+0.4601σc令E(rc)=14%,可以求出最优资产组合的标准差为13.04%。


资产组合的预期收益率为14%,是国库券利率和股票与债券的最优组合p的平均预期收益率。用X表示该资产组合的比例,在最优资本配置线上的任意资产组合的均值为:E(rc)=(1-X)rf+XE(rP)=rf+X[E(rP)-rf]=8%+X(15.61%-8%)=14%,可得:X=0.7884,1-X=0.2116即投资于国库券的比例。总资产组合中股票比例=0.7884*0.4516=0.3560;总资产组合中债券比例=0.7884*0.5484=0.4324。


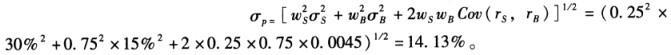
设投资于股票基金的适当比例为ws,而wB=1-ws即投资于债券基金的比例:由14%=20%ws+12%*(1-ws)=12%+8%ws;可得:ws=0.25。即25%投资于股票,75%投资于债券。


资产组合的标准差为:

相关内容:题干,李先生,先生,正在,投资,基金,股票,政府,债券,公司,收益率,短期,国库券,货币,市场,风险

猜你喜欢

发表评论
更多 网友评论0 条评论)
暂无评论

访问排行

Copyright © 2012-2014 恰考网 Inc. 保留所有权利。 Powered by tikuer.com

页面耗时0.0443秒, 内存占用1.05 MB, Cache:redis,访问数据库17次