正态分布的数值变置,两组资料的比 较,检验统计量的计算用

作者: tihaiku 人气: - 评论: 0
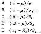
问题 正态分布的数值变置,两组资料的比 较,检验统计量的计算用
选项
答案 E
解析

相关内容:正态分布,数值,变置,两组,资料,检验,计量

猜你喜欢

发表评论
更多 网友评论0 条评论)
暂无评论

访问排行

Copyright © 2012-2014 恰考网 Inc. 保留所有权利。 Powered by tikuer.com

页面耗时0.0307秒, 内存占用1.04 MB, Cache:redis,访问数据库19次